Annie Chemie P Ltd. IndiaAnnie Chemie P Ltd, is a company at Dahej in Gujarat, India. It is a manufacturer exporter of Potassium Gluconate USP FCC Food Grade & Potassium Ascorbate and oil field shale gas fracking or hydraulic fracturing chemicals and speciality chemicals and it has substantial exports to countries like USA, Canada, UK, Europe, UAE, Nigeria, Algeria, Turkey, Mexico, Brazil, Chile, Argentina, Australia, Kuwait, Dubai etc. We have developed encapsulated guar gel breaker based on coated ammonium persulfate, potassium persulfate, sodium persulfate, potassium peroxymonopersulfate, sodium bromate etc. We also supply other coated or encapsulated products like citric acid, guar crosslinkers other shale gas frac related products like diverting agent, KCl-substitute or clay-stabilizer, corossion inhibitors, scale inhibitor, bio-guard and several speciality chemicals.

Home ----------------- Contact Us

Potassium Gluconate USP FCC Food Grade & Potassium Ascorbate Suppliers Exporters, Manufacturers

Potassium Gluconate
CAS Number: 299-27-4 anhydrous or 35398-15-3 monohydrate USP FCC Food Grade Suppliers Exporters, Manufacturers
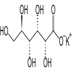
Potassium Gluconate Manufacturers Exporters

Please visit Safety Data Sheet of Potassium Gluconate USP FCC Food Grade Manufacturers.

Specifications of Potassium Gluconate USP Grade
C6H11KO7(anhydrous) -- 234.25
d-Gluconic acid, monopotassium salt.
Monopotassium d-gluconate -- CAS 299-27-4.
Monohydrate 252.26 -- CAS 35398-15-3.

Potassium Gluconate is anhydrous or contains one molecule of water of hydration. It contains not less than 97.0 percent and not more than 103.0 percent of C6H11KO7, calculated on the dried basis.

Identification:
A: Infrared Absorption.
B: It responds to the flame test for Potassium.
C: It responds to Identification test B for Gluconate under Calcium Gluconate.
Loss on drying: Dry it in vacuum at 105C for 4 hours: the anhydrous form loses not more than 3.0% of its weight, and the monohydrate loses between 6.0% and 7.5% of its weight.
Heavy metals: Dissolve 1 g in 10 mL of water, add 6 mL of 3 N hydrochloric acid, and dilute with water to 25 mL: the limit is 0.002%.
Reducing substances: Transfer 1.0 g to a 250-mL conical flask, dissolve in 10 mL of water, and add 25 mL of alkaline cupric citrate TS. Cover the flask, boil gently for 5 minutes, accurately timed, and cool rapidly to room temperature. Add 25 mL of 0.6 N acetic acid, 10.0 mL of 0.1 N iodine VS, and 10 mL of 3 N hydrochloric acid, and titrate with 0.1 N sodium thiosulfate VS, adding 3 mL of starch TS as the endpoint is approached. Perform a blank determination, omitting the specimen, and note the difference in volumes required. Each mL of the difference in volume of 0.1 N sodium thiosulfate consumed is equivalent to 2.7 mg of reducing substances (as dextrose): the limit is 1.0%.


Specifications of Potassium Gluconate FCC Food Grade
D-Gluconic Acid, Monopotassium Salt; Monopotassium DGluconate
C6H11KO7 -- Formula weight, anhydrous 234.25
C6H11KO7-H2O -- Formula weight, monohydrate 252.26
CAS: anhydrous CAS 299-27-4
CAS: monohydrate CAS 35398-15-3

DESCRIPTION
Potassium Gluconate
occurs as a white or yellow-white, crystalline powder or granules. It is anhydrous or the monohydrate. It is freely soluble in water and in glycerin, slightly soluble in alcohol, and insoluble in ether.

REQUIREMENTS
Indicate whether it is anhydrous or the monohydrate.

Identification:
A. A sample responds to the flame test for Potassium.
B. Dissolve a quantity of sample in water, heating in a water bath at 60° if necessary, to obtain a Test Solution containing 10 mg/mL. Similarly, prepare a Standard Solution of USP Potassium Gluconate Reference Standard in water, diluting to 10 mg/mL. To prepare a Spray Reagent, dissolve 2.5 g of ammonium molybdate in about 50 mL of 2 N sulfuric acid in a 100-mL volumetric flask, add 1.0 g of ceric sulfate, swirl to dissolve, dilute with 2 N sulfuric acid to volume, and mix. Apply separate 5-L portions of the Test Solution and the Standard Solution on a suitable thin-layer chromatographic plate, coated with a 0.25-mm layer of chromatographic silica gel, and allow to dry. Develop the chromatogram in a solvent system consisting of a 50:30:10:10 mixture of alcohol, water, ammonium hydroxide, and ethyl acetate until the solvent front has moved about three-fourths of the length of the plate. Remove the plate from the chamber, and dry at 110C for 20 min. Allow to cool, and spray with Spray Reagent. After spraying, heat the plate at 110C for about 10 min. The principal spot obtained from the Test Solution corresponds in color, size, and Rf value to that obtained from the Standard Solution.
C. The infrared absorption spectrum of a mineral oil dispersion of the sample, previously dried, exhibits relative maxima at the same wavelengths as those of a similar preparation of USP Potassium Gluconate Reference Standard.
Assay: Not less than 98.0% of C6H11KO7, calculated on the dried basis.
Lead: Not more than 2 mg/kg.
Loss on Drying: Anhydrous: Not more than 3.0%; Monohydrate: Between 6.0% and 7.5%.
Reducing Substances: Not more than 1.0%.

Potassium Gluconate Suppliers

Please visit Hazard Statement of Potassium Gluconate USP FCC Food Grade Suppliers.



Potassium Ascorbate
CAS Number: 15421-15-5 Suppliers Exporters, Manufacturers
Potassium Ascorbate Manufacturers Exporters

Please visit Safety Data Sheet of Potassium Ascorbate Manufacturers.

Potassium ascorbate:
Appearance: Off white to yellow powder
CAS Number: 15421-15-5, EINECS EC Number: 239-432-1,
Molecular Formula: C6H7KO6,
Molecular Weight: 214.21
Water content: 15% maximum.
Arsenic: 1 ppm maximum.
Cadmium: 1 ppm maximum.
Mercury: 1 ppm maximum.
Lead: 5 ppm maximum.
Assay as - Potassium: 14.8% - 16.4%
Assay as - Ascorbic acid on anhydrous basis: 60% minimum
Assay as - Potassium Ascorbate (C6 H7O6 K. 2H2O): 95% to 105%
Total plate count: Not more than 3000 cfu/ g.
Yeast & mould: Not more than 100 cfu/g.
E. coli: To be absent.
Salmonella: To be absent.

Potassium Ascorbate Suppliers

Please visit Hazard Statement of Potassium Ascorbate Suppliers.

Potassium Gluconate CAS Number 299-27-4 anhydrous or 35398-15-3 monohydrate & Potassium Ascorbate CAS Number 15421-15-5 Supplier Exporter, Manufacturer:

Annie Chemie P Ltd
Mumbai 4000010, INDIA
With Agents and offices in UAE, USA, Europe.

e-mail: info@anniechemie.com

Copyright and Usual Disclaimer is Applicable.
June 1, 2025

Exporters to USA, Canada, UK, Europe, UAE, Nigeria, Algeria, Turkey, Mexico, Brazil, Chile, Argentina, Australia, Dubai etc.

Perfection is made up of small things and that is a big thing.